You are here: Home » News » High-density Parameter Knowledge

High-density Parameter Knowledge

Views: 3     Author: Site Editor     Publish Time: 2024-11-18      Origin: Site

Inquire

facebook sharing button
twitter sharing button
line sharing button
wechat sharing button
linkedin sharing button
pinterest sharing button
whatsapp sharing button
sharethis sharing button

Electrical prospecting is based on the physical premise of electrical differences. Apparent resistivity: Resistivity is used to represent the electrical characteristics of the distribution of various materials in a geological body. Its calculation formula is: The K value is determined by different devices, and it can be divided into depth measurement and profile.

9b95345442ff97b394680d5178fdfc96


1) Resistivity vertical sounding is an important geophysical method for studying vertical geological structures. We can use this characteristic to determine the position of groundwater and the depth from the surface. This curve is usually drawn with double logarithmic coordinates, with the ordinate representing the s value (in ohm·meter) and the abscissa representing AB (in meters). It can also be drawn into an apparent resistivity profile or a plane contour map


2) The electrical profile method studies the electrical changes of rocks in the horizontal direction along the survey line above the underground exploration depth. Different devices can solve different geological problems. Compared with the electrical sounding method, the electrical profile method is used to distinguish the changes in geological structures and structures in the underground horizontal direction. The electrical profile method can be used to delineate the horizontal distribution range of the target body. The observation results are drawn into plane profiles, pseudo-sections, plane contour maps, etc. 2. Natural potential: In nature, underground rocks have electric fields due to the presence of water, including: filtration electric field, diffusion electric field and redox electric field.


3. Polarizability: It is the main parameter measured by induced polarization. It is an electrical exploration method based on the difference in physical and electrochemical effects (induced polarization effect) of underground rocks and ores under the action of artificial electric fields. The biggest advantage is that it is less affected by terrain.

dc3452e9ca59219ac0e618302a27bf0d


Polarization rate: The polarization strength is expressed by the polarization rate s: where VT is the total electric field potential difference measured before power failure after power supply for a period of time T; is the secondary field potential difference measured at time T after power failure.


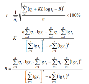
4. Deviation (r): There will always be some deviation between the measured discharge curve and the ideal straight line. The so-called deviation refers to the fitting error between the measured discharge curve and the straight line equation. We use the mean square error r to represent it, which is called deviation.

In the formula, n is the number of sampling points; is the average value of the polarization rate of each sampling point during the observation period; K is the slope of the decay curve, which reflects the total slope of the discharge curve during the observation period; B is a parameter reflecting the secondary field strength. Since it uses all the data of the discharge curve, it has a strong anti-interference ability. When making the measured curve, the Y axis is r and the X axis is AB/2

1d379d0d9a6c6739055ddeb3b7047d17

5. Half-decay time (Th): The so-called half-decay time refers to the time required for the discharge secondary field to decay from the maximum value after power failure to half, usually expressed as S. In actual work, in order to obtain a more obvious S value, the power supply time should not be too short, generally T is greater than or equal to 30s. The measured curve uses the Y axis as the half-decay time Th and the X axis as AB/2.


6. Attenuation: The formula for attenuation is: that is, the ratio of the average value of V2 to the V2 value at 0.25s in the period from 0.25s to 5.25s after power failure is used as a parameter to measure the speed of secondary field discharge. The smaller the D value, the faster the discharge, and the larger the D value, the slower the discharge. The abnormal peak of the attenuation parameter depth sounding curve often corresponds to certain geological interfaces and has a high correlation, which should be taken seriously in practical work.


7. Comprehensive induced polarization parameter: Its expression is:. Practice shows that the apparent half-attenuation time (tS) curve has a more obvious reflection on the top of the aquifer, but the reflection on the bottom boundary is unclear; the polarizability curve reflects the entire aquifer, but the abnormal width is large, the amplitude is small, and the boundary is blurred. In order to improve the resolution of these parameters, these two parameters can be comprehensively sorted. The higher the Zs value, the better the water content. Due to the influence of carbonaceous strata, the polarizability value is higher, but the half-decay decays faster, which makes the comprehensive parameter Zs value smaller, thereby eliminating the interference of the carbonaceous layer and making the interpretation more reliable.


8. Secondary time difference method: not affected by pure terrain undulation and surrounding rock resistivity inhomogeneity, (the measurement method is quadrupole sounding) the first high voltage and large current are measured, and the half-decay time is TH1, and the second low voltage and small current are measured, and the half-decay time is TH2. The secondary time difference is T=TH1-TH2. When making the measured curve, the Y axis is the secondary time difference T, and the X axis is AB/2.


9. Metal factor: JR=s/(s*100) Research on the abnormal characteristics of the metal factor JS and the changing characteristics of the main ore-controlling fault trends on the surface, the mineralization and alteration characteristics, and the geophysical characteristics of the distribution of ore-forming elements shows that: the apparent polarizability and apparent resistivity are related to the polymetallic mineralization in the tectonic belt; the expansion parts of the abnormal belt and the tectonic belt are closely related to the mineralization and alteration belt; the metal factor JS plays an important role in effectively suppressing the high-resistance and low-polarization non-mineral rock strata and reducing the influence of terrain.







Copyright © 2014 Chongqing Gold M& E Equipment Co., Ltd.  All rights reserved. Site Map Supported by Leadong.com